An aspheric lens is an ideal magnifier from several points of view.When used at its conjugates, there is no distortion of the image(a rectangular grid remains a rectangular grid after

Figure 1 Loss due to reflection as a function of the angle of incidence. The angle shown is that between the in-cident ray and the normal to the surface. The losses shown are for unpolarized light, and are obtained by incoherently averaging the losses for light polar-ized parallel to and perpendicular to the plane of incidence.
Magnification).If the lens is large enough for the object to be viewed with both eyes, the view is stereoscopic.
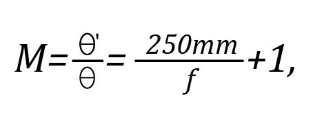
Magnifiers are used to form an image larger than the nor-mal image of an object on the retina of the eyes. The largest sharp retinal image for the unaided eye is formed when the object is at adistance of 25cm from the eye: for most peo-ple, this is the distance of most distinct vision. Placing a magnifier betwwn the object and the eye permits the object to be moved closer to the eye, and the eye is able to focus on the virtual image formed, preferably,at the distance of most distinct vision. The angular magnification,M, is the ratio of the angle subtended by the image to the angle subtended ty the obfect. From the thin lens equation,

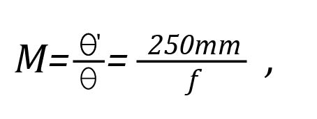
Where f is the lens focal length.This is usually taken as

true for a virtual image at infinity.A magnifier with a focal length of 50mm will then have a power of 5X.
Because they can be made large, Fresnel lenses are gen-erally used to magnify objects slightly, perhaps as little as1.2 or 1.5X.One usually expects to see the entire object at once within the Fresnel lens, so that the lens must then be1.2 or 1.5 times the size of the object in both length and width.
Please observe caution when using a Fresnel lens as a magnifier around strong linght source, lasers, and in sun-light.